当前位置: 首页 > 科学研究 > 学术活动 > 正文
江西师范大学杨健夫教授的学术报告--3月2日
发布时间:2023-03-02 00:00  作者:   初审:  复审:  来源:本站原创  浏览次数:

江西师范大学杨健夫教授的学术报告

报告题目:Normalized solutions and mass concentration for supercritical nonlinear Schrodinger equations

报告人:杨健夫

报告时间:2023年3月2日(星期四)16:30-17:30

报告地点:数学大楼316

报告人简介:

杨健夫,男,理学博士,江西师范大学二级教授,博士生导师。主要从事非线性偏微分方程的理论与应用研究。在国内外学术刊物上发表了100多篇论文,先后参加国家科技部重大基础研究前期研究专项,国家自然科学基金重点项目研究,主持过多项国家自然科学基金项目的研究;1993年起享受务院政府特殊津贴,1998年被国家人事部授予国家有突出贡献中青年专家, 2001年入选中科院“百人计划”;首批入选赣鄱555计划。现为《数学物理学报》常务编委,江西省人民政府学科评议专家,江西省数学会理事长,国家科学技术进步奖评审专家,国家自然科学基金评审专家,科技部国际合作项目通讯评审专家。

报告摘要:

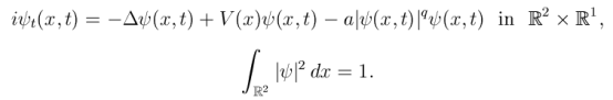
In this talk, we study the existence and asymptotic behavior of standing waves for the following nonlinear Schrodinger equation

where a>0, q>2, and V is an external potential.