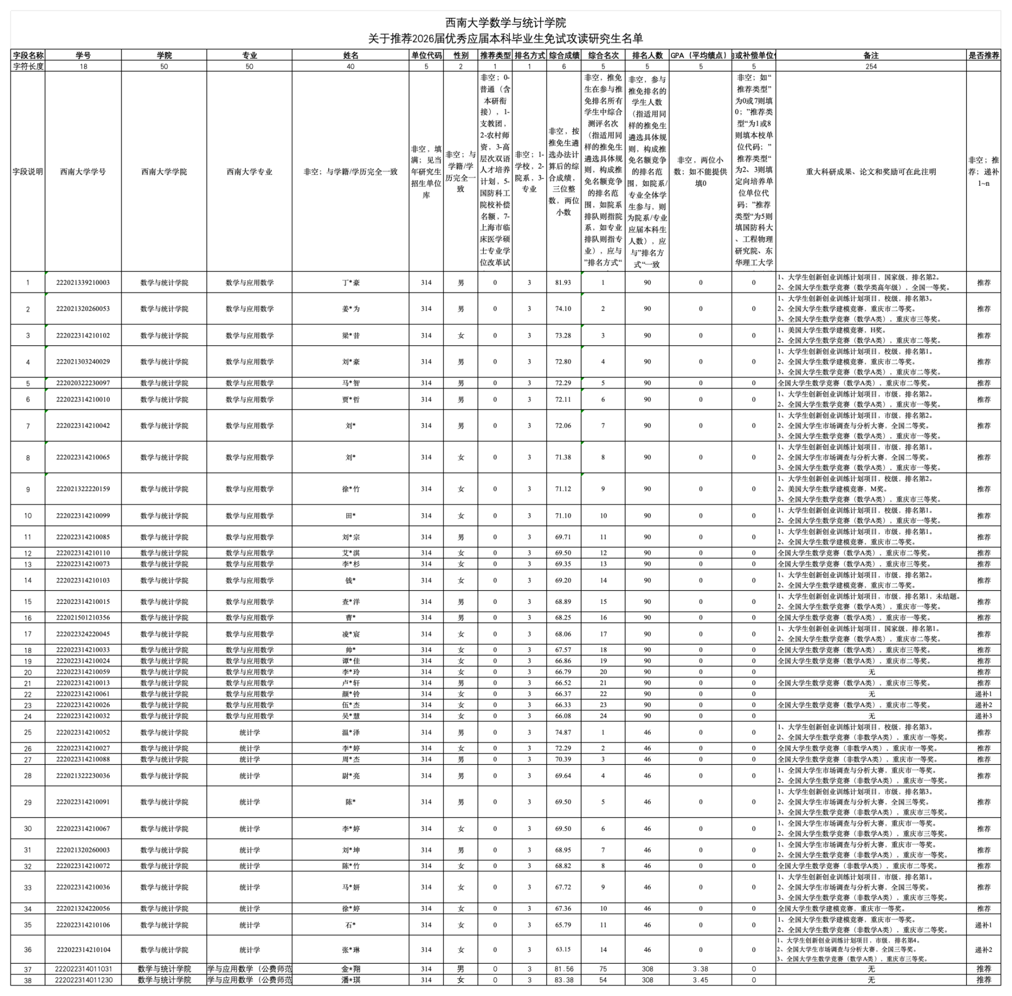
根据《437bwin必赢国际推荐优秀应届本科毕业生免试攻读研究生工作管理办法》(西校〔2025〕96号)、《437必赢会员中心推荐优秀应届本科毕业生免试攻读研究生工作管理办法》(西数统[2023] 3号)、《437必赢会员中心推荐2026届优秀应届本科毕业生免试攻读研究生工作实施办法》等相关文件精神,经学生申请、学院审核,党政联席会议通过,现将437必赢会员中心2026届优秀应届本科毕业生免试攻读研究生名单公示。
公示时间:2025年9月13日至2025年9月19日
公示期间,如有异议,请实名反馈。
学院举报电话:68254297 电子邮箱: shbdeng@swu.edu.cn
学院纪委办公室电话:68367782 电子邮箱:1125060848@qq.com

437必赢会员中心
2025年9月13日